消防法规_建筑防烟排烟系统技术标准(GB51251-2017)_上海天骄安宇消防工程技术有限公司
| 标准号 | GB51251 | 标准名 | 建筑防烟排烟系统技术标准 |
| 发布时间 | 2018-05-01 | 实施时间 | 2018-08-01 |
消防法规_建筑防烟排烟系统技术标准(GB51251-2017)_上海天骄安宇消防工程技术有限公司
《建筑防烟排烟系统技术标准》(GB51251-2017)由中华人民共和国住房和城乡建设部和中华人民共和国国家质量检验检疫总局#于2018年05月01日联合发布,2018年2018年08月01日实施。
前 言
根据建设部《关于印发<2006年工程建设标准规范制定、修订计划(第一批)〉的通知》(建标[2006]77号)的要求,本标准由公安部四川消防研究所会同上海市公安消防总队等有关单位共同编制而成。
本标准制订过程中,编制组遵循国家有关法律、法规和技术标准,深入调研了建筑防烟排烟系统设计和工程应用情况,认真总结了火灾事故教训和建筑防烟、排烟系统工程应用实践经验,参考了国内外相关标准规范,吸收了先进的科研成果,广泛征求了设计、监理、施工、产品制造、消防监督等各有关单位的意见,最后经审查定稿。
本标准共分9章和7个附录,主要技术内容有:总则,术语和符号,防烟系统设计,排烟系统设计,系统控制、系统施工,系统调试,系统验收和维护管理等。
本标准中以黑体字标志部分为强制性条文,必须严格执行。
本标准由住房城乡建设部负责管理和对强制性条文的解释,由公安部消防局负责日常管理工作,由公安部四川消防研究所负责具体技术内容的解释。在本标准执行过程中,希望各单位结合工程实践认真总结经验,注意积累资料,随时将有关意见和建议反馈给公安部四川消防研究所(地址:四川省成都市金牛区金科南路69号,邮政编码:610036),以供今后修订时参考。
目 录
1 总则
2 术语和符号
2.1 术语
2.2 符号
3 防烟系统设计
3.1 一般规定
3.2 自然通风设施
3.3 机械加压送风设施
3.4 机械加压送风系统风量计算
4 排烟系统设计
4.1 一般规定
4.2 防烟分区
4.3 自然排烟设施
4.4 机械排烟设施
4.5 补风系统
4.6 排烟系统设计计算
5 系统控制
5.1 防烟系统
5.2 排烟系统
6 系统施工
6.1 一般规定
6.2 进场检验
6.3 风管安装
6.4 部件安装
6.5 风机安装
7 系统调试
7.1 一般规定
7.2 单机调试
7.3 联动调试
8 系统验收
8.1 —般规定
8.2 工程验收
9 维护管理
附录A不同火灾规模下的机械排烟量
附录B排烟口最大允许排烟量
附录C防烟、排烟系统分部、分项工程划分
附录D施工过程质量检查记录
附录E防烟、排烟系统工程质量控制资料检查记录
附录F防烟、排烟工程验收记录
附录G防烟、排烟系统维护管理工作检查项目
本标准用词说明
引用标准名录
1 总则
1.0.1 为了合理设计建筑防烟、排烟系统,保证施工质量,规范验收和维护管理,减少火灾危害,保护人身和财产安全,制定本标准。
1.0.2 本标准适用于新建、扩建和改建的工业与民用建筑的防烟、排烟系统的设计、施工、验收及维护管理。对于有特殊用途或特殊要求的工业与民用建筑,当专业标准有特别规定的,可从其规定。
1.0.3 建筑防烟、排烟系统的设计,应结合建筑的特性和火灾烟气的发展规律等因素,采取有效的技术措施,做到安全可靠、技术先进、经济合理。
1.0.4 建筑防烟、排烟系统的设备,应选用符合国家现行有关标准和有关准入制度的产品。
1.0.5 建筑防烟、排烟系统的设计、施工、验收及维护管理除执行本标准外,尚应符合国家现行有关标准的要求。
2 术语和符号
2.1 术语
2.1.1 防烟系统
通过采用自然通风方式,防止火灾烟气在楼梯间、前室、避难层(间)等空间内积聚,或通过采用机械加压送风方式阻止火灾烟气侵入楼梯间、前室、避难层(间)等空间的系统,防烟系统分为自然通风系统和机械加压送风系统。
2.1.2 排烟系统
采用自然排烟或机械排烟的方式,将房间、走道等空间的火灾烟气排至建筑物外的系统,分为自然排烟系统和机械排烟系统。
2.1.3 直灌式机械加压送风
无送风井道,采用风机直接对楼梯间进行机械加压的送风方式。
2.1.4 自然排烟
利用火灾热烟气流的浮力和外部风压作用,通过建筑开口将建筑内的烟气直接排至室外的排烟方式。
2.1.5 自然排烟窗(口)
具有排烟作用的可开启外窗或开口,可通过自动、手动、温控释放等方式开启。
2.1.6 烟羽流
火灾时烟气卷吸周围空气所形成的混合烟气流。烟羽流按火焰及烟的流动情形,可分为轴对称型烟羽流、阳台溢出型烟羽流、窗口型烟羽流等。
2.1.7 轴对称型烟羽流
上升过程不与四周墙壁或障碍物接触,并且不受气流干扰的烟羽流。
2.1.8 阳台溢出型烟羽流
从着火房间的门(窗)梁处溢出,并沿着火房间外的阳台或水平突出物流动,至阳台或水平突出物的边缘向上溢出至相邻高大空间的烟羽流。
2.1.9 窗口型烟羽流
从发生通风受限火灾的房间或隔间的门、窗等开口处溢出至相邻高大空间的烟羽流。
2.1.10 挡烟垂壁
用不燃材料制成,垂直安装在建筑顶棚、梁或吊顶下,能在火灾时形成一定的蓄烟空间的挡烟分隔设施。
2.1.11 储烟仓
位于建筑空间顶部,由挡烟垂壁、梁或隔墙等形成的用于蓄积火灾烟气的空间。储烟仓高度即设计烟层厚度。
2.1.12 清晰高度
烟层下缘至室内地面的高度。
2.1.13 烟羽流质量流量
单位时间内烟羽流通过某一高度的水平断面的质量,单位为 kg/s。
2.1.14 排烟防火阀
安装在机械排烟系统的管道上,平时呈开启状态,火灾时当排烟管道内烟气温度达到280℃时关闭,并在一定时间内能满足漏烟量和耐火完整性要求,起隔烟阻火作用的阀门。一般由阀体、叶片、执行机构和温感器等部件组成。
2.1.15 排烟阀
安装在机械排烟系统各支管端部(烟气吸入口)处,平时呈关闭状态并满足漏风量要求,火灾时可手动和电动启闭,起排烟作用的阀门。一般由阀体、叶片、执行机构等部件组成。
2.1.16 排烟口
机械排烟系统中烟气的入口。
2.1.17 固定窗
设置在设有机械防烟排烟系统的场所中,窗扇固定、平时不可开启,仅在火灾时便于人工破拆以排出火场中的烟和热的外窗。
2.1.18 可熔性采光带(窗)
采用在120°C〜150°C能自行熔化且不产生熔滴的材料制作,设置在建筑空间上部,用于排出火场中的烟和热的设施。
2.1.19 独立前室
只与一部疏散楼梯相连的前室。
2.1.20 共用前室
(居住建筑)剪刀楼梯间的两个楼梯间共用同一前室时的前室。
2.1.21 合用前室
防烟楼梯间前室与消防电梯前室合用时的前室。
2.2 符号
2.2.1 计算几何参数
A—每个疏散门的有效漏风面积;
Ak—开启门的截面面积;
A0—所有进气口总面积;
Am—门的面积;
Af—单个送风阀门的面积;
Ag—前室疏散门的总面积;
Al—楼梯间疏散门的总面积;
AV—自然排烟窗(口)截面积;
AW—窗口开口面积;
B—风管长边尺寸;
b一从开口至阳台边沿的距离;
dm—门的把手到门闩的距离;
db一排烟系统吸入口最低点之下烟气层厚度;
D—风管直径;
H一空间净高;
H′—对于单层空间,取排烟空间的建筑净高度;对于多层空间,取最高疏散楼层的层高;
H1—燃料面至阳台的高度;
HW—窗口开口的高度;
Hq—最小清晰高度;
w—火源区域的开口宽度;
W—烟羽流扩散宽度;
Wm—单扇门的宽度;
Z一燃料面到烟层底部的高度;
Z1一火焰极限高度;
Zb—从阳台下缘至烟层底部的高度;
Zw—窗口开口的上缘到烟层底部的高度。
2.2.2计算风量、风速
g—重力加速度;
Lhigh—高压系统单位面积风管单位时间内的允许漏风量;
Lj—楼梯间的机械加压送风量;
Llow—低压系统单位面积风管单位时间内的允许漏风量;
Lmid—中压系统单位面积风管单位时间内的允许漏风量;
Ls—前室的机械加压送风量;
L1—门开启时,达到规定风速值所需的送风量;
L2—门开启时,规定风速值下的其他门缝漏风总量;
L3—未开启的常闭送风阀的漏风总量;
Mρ—烟羽流质量流量;
v—门洞断面风速;
V—排烟量;
Vmax—排烟口最大允许排烟量。
2.2.3 计算压力、热量、时间
Cp—空气的定压比热;
F′—门的总推力;
Fdc—门把手处克服闭门器所需的力;
M—闭门器的开启力矩;
ρ0—环境温度下的气体密度;
P—疏散门的最大允许压力差;
P风管—风管系统工作压力;
△P—计算漏风量的平均压力差;
Q—热释放速率;
Qc—热释放速率中的对流部分;
t—火灾增长时间;
T—烟层的平均绝对温度;
T0—环境的绝对温度;
△T—烟层平均温度与环境温度之差。
2.2.4计算系数
α—火灾增长系数;
αw—窗口型烟羽流的修正系数;
γ—排烟位置系数;
C0—进气口流量系数;
CV—自然排烟窗(口)流量系数;
K—烟气中对流放热量因子;
n—指数。
2.2.5计算其他符号
N1—设计疏散门开启的楼层数量;
N2—漏风疏散门的数量;
N3—漏风阀门的数量。
3 防烟系统设计
3.1 一般规定
3.1.1建筑防烟系统的设计应根据建筑高度、使用性质等因素,采用自然通风系统或机械加压送风系统。
3.1.2建筑高度大于50m的公共建筑、工业建筑和建筑高度大于100m的住宅建筑,其防烟楼梯间、独立前室、共用前室、合用前室及消防电梯前室应采用机械加压送风系统。
3.1.3建筑高度小于或等于50m的公共建筑、工业建筑和建筑高度小于或等于100m的住宅建筑,其防烟楼梯间、独立前室、共用前室、合用前室(除共用前室与消防电梯前室合用外)及消防电梯前室应采用自然通风系统;当不能设置自然通风系统时,应采用机械加压送风系统。防烟系统的选择,尚应符合下列规定:
1 当独立前室或合用前室满足下列条件之一时,楼梯间可不设置防烟系统:
1) 采用全敞开的阳台或凹廊;
2) 设有两个及以上不同朝向的可开启外窗,且独立前室两个外窗面积分别不小于2.0 m2 ,合用前室两个外窗面积分别不小于3.0m2。
2 当独立前室、共用前室及合用前室的机械加压送风口设置在前室的顶部或正对前室入口的墙面时,楼梯间可采用自然通风系统;当机械加压送风口未设置在前室的顶部或正对前室入口的墙面时,楼梯间应采用机械加压送风系统。
3 当防烟楼梯间在裙房高度以上部分采用自然通风时,不具备自然通风条件的裙房的独立前室、共用前室及合用前室应采用机械加压送风系统,且独立前室、共用前室及合用前室送风口的设置方式应符合本条第 2款的规定。
3.1.4建筑地下部分的防烟楼梯间前室及消防电梯前室,当无自然通风条件或自然通风不符合要求时,应采用机械加压送风系统。
3.1.5防烟楼梯间及其前室的机械加压送风系统的设置应符合下列规定:
1建筑高度小于或等于50m的公共建筑、工业建筑和建筑高度小于或等于100m的住宅建筑,当采用独立前室且其仅有一个门与走道或房间相通时,可仅在楼梯间设置机械加压送风系统;当独立前室有多个门时,楼梯间、独立前室应分别独立设置机械加压送风系统。
2当采用合用前室时,楼梯间、合用前室应分别独立设置机械加压送风系统。
3当采用剪刀楼梯时,其两个楼梯间及其前室的机械加压送风系统应分别独立设置。
3.1.6封闭楼梯间应采用自然通风系统,不能满足自然通风条件的封闭楼梯间,应设置机械加压送风系统。当地下、半地下建筑(室)的封闭楼梯间不与地上楼梯间共用且地下仅为一层时,可不设置机械加压送风系统,但首层应设置有效面积不小于1.2㎡的可开启外窗或直通室外的疏散门。
3.1.7设置机械加压送风系统的场所,楼梯间应设置常开风口,前室应设置常闭风口;火灾时其联动开启方式应符合本标准第5.1.3条的规定。
3.1.8避难层的防烟系统可根据建筑构造、设备布置等因素选择自然通风系统或机械加压送风系统。
3.1.9避难走道应在其前室及避难走道分别设置机械加压送风系统,但下列情况可仅在前室设置机械加压送风系统:
1避难走道一端设置安全出口,且总长度小于30m;
2避难走道两端设置安全出口,且总长度小于60m。
3.2 自然通风设施
3.2.1采用自然通风方式的封闭楼梯间、防烟楼梯间,应在最高部位设置面积不小于1.0m2的可开启外窗或开口;当建筑高度大于10m时,尚应在楼梯间的外墙上每 5层内设置总面积不小于2.0 m2 的可开启外窗或开口,且布置间隔不大于 3层。
3.2.2前室采用自然通风方式时,独立前室、消防电梯前室可开启外窗或开口的面积不应小于2.0 m2,共用前室、合用前室不应小于3.0 m2。
3.2.3采用自然通风方式的避难层(间)应设有不同朝向的可开启外窗,其有效面积不应小于该避难层(间)地面面积的 2%,且每个朝向的面积不应小于2.0㎡。
3.2.4可开启外窗应方便直接开启,设置在高处不便于直接开启的可开启外窗应在距地面高度为1.3m〜1.5m的位置设置手动开启装置。
3.3 机械加压送风设施
3.3.1建筑高度大于100m的建筑,其机械加压送风系统应竖向分段独立设置,且每段高度不应超过 100m。
3.3.2除本标准另有规定外,采用机械加压送风系统的防烟楼梯间及其前室应分别设置送风井(管)道,送风口(阀)和送风机。
3.3.3建筑高度小于或等于50m的建筑,当楼梯间设置加压送风井(管)道确有困难时,楼梯间可采用直灌式加压送风系统,并应符合下列规定:
1建筑高度大于32m的高层建筑,应采用楼梯间两点部位送风的方式,送风口之间距离不宜小于建筑高度的1/2 ;
2送风量应按计算值或本标准第3.4.2条规定的送风量增加20%;
3加压送风口不宜设在影响人员疏散的部位。
3.3.4设置机械加压送风系统的楼梯间的地上部分与地下部分,其机械加压送风系统应分别独立设置。当受建筑条件限制,且地下部分为汽车库或设备用房时,可共用机械加压送风系统,并应符合下列规定:
1应按本标准第3.4.5条的规定分别计算地上、地下部分的加压送风量,相加后作为共用加压送风系统风量;
2应采取有效措施分别满足地上、地下部分的送风量的要求。
3.3.5机械加压送风风机宜采用轴流风机或中、低压离心风机,其设置应符合下列规定:
1送风机的进风口应直通室外,且应采取防止烟气被吸入的措施。
2送风机的进风口宜设在机械加压送风系统的下部。
3送风机的进风口不应与排烟风机的出风口设在同一面上。当确有困难时,送风机的进风口与排烟风机的出风口应分开布置,且竖向布置时,送风机的进风口应设置在排烟出口的下方,其两者边缘最小垂直距离不应小于6.0m;水平布置时,两者边缘最小水平距离不应小于20.0m。
4送风机宜设置在系统的下部,且应采取保证各层送风量均匀性的措施。
5送风机应设置在专用机房内,送风机房并应符合现行国家标准《建筑设计防火规范》GB 50016的规定。
6当送风机出风管或进风管上安装单向风阀或电动风阀时,应采取火灾时自动开启阀门的措施。
3.3.6加压送风口的设置应符合下列规定:
1除直灌式加压送风方式外,楼梯间宜每隔2层〜3层设一个常开式百叶送风口;
2前室应每层设一个常闭式加压送风口,并应设手动开启装置;
3送风口的风速不宜大于7m/s;
4送风口不宜设置在被门挡住的部位。
3.3.7机械加压送风系统应采用管道送风,且不应采用土建风道。送风管道应采用不燃材料制作且内壁应光滑。当送风管道内壁为金属时,设计风速不应大于20m/s;当送风管道内壁为非金属时,设计风速不应大于15m/s;送风管道的厚度应符合现行国家标准《通风与空调工程施工质量验收规范》GB 50243的规定。
3.3.8机械加压送风管道的设置和耐火极限应符合下列规定:
1竖向设置的送风管道应独立设置在管道井内,当确有困难时,未设置在管道井内或与其他管道合用管道井的送风管道,其耐火极限不应低于1.00h ;
2水平设置的送风管道,当设置在吊顶内时,其耐火极限不应低于0.50h;当未设置在吊顶内时,其耐火极限不应低于1.00h。
3.3.9机械加压送风系统的管道井应采用耐火极限不低于1.00h的隔墙与相邻部位分隔,当墙上必须设置检修门时应采用乙级防火门。
3.3.10采用机械加压送风的场所不应设置百叶窗,且不宜设置可开启外窗。
3.3.11设置机械加压送风系统的封闭楼梯间、防烟楼梯间,尚应在其顶部设置不小于1m2的固定窗。靠外墙的防烟楼梯间,尚应在其外墙上每5层内设置总面积不小于2m2的固定窗。
3.3.12设置机械加压送风系统的避难层(间),尚应在外墙设置可开启外窗,其有效面积不应小于该避难层(间)地面面积的1%。有效面积的计算应符合本标准第4.3.5条的规定。
3.4 机械加压送风系统风量计算
3.4.1机械加压送风系统的设计风量不应小于计算风量的1.2倍。
3.4.2防烟楼梯间、独立前室、共用前室、合用前室和消防电梯前室的机械加压送风的计算风量应由本标准第3.4.5条〜第3.4.8条的规定计算确定。当系统负担建筑高度大于24m时,防烟楼梯间、独立前室、合用前室和消防电梯前室应按计算值与表3.4.2-1〜表3.4.2-4的值中的较大值确定。

注:1表3.4.2-1〜表3.4.2-4的风量按开启1个2.0m×1.6m的双扇门确定。当采用单扇门时,其风量可乘以系数0.75计算。
2表中风量按开启着火层及其上下层,共开启三层的风量计算。
3表中风量的选取应按建筑高度或层数、风道材料、防火门漏风量等因素综合确定。
3.4.3封闭避难层(间)、避难走道的机械加压送风量应按避难层(间)、避难走道的净面积每平方米不少于30m3/h计算。避难走道前室的送风量应按直接开向前室的疏散门的总断面积乘以1.0m/s门洞断面风速计算。
3.4.4机械加压送风量应满足走廊至前室至楼梯间的压力呈递增分布,余压值应符合下列规定:
1前室、封闭避难层(间)与走道之间的压差应为25Pa〜30Pa;
2楼梯间与走道之间的压差应为40Pa〜50Pa;
3当系统余压值超过最大允许压力差时应采取泄压措施。最大允许压力差应由本标准第3.4.9条计算确定。
3.4.5楼梯间或前室的机械加压送风量应按下列公式计算:
Lj =L1 + L2 (3.4.5-1)
Ls =L1 + L3 (3.4.5-2)
式中:Lj——楼梯间的机械加压送风量;
Ls——前室的机械加压送风量;
L1——门开启时,达到规定风速值所需的送风量 (m3/s);
L2——门开启时,规定风速值下,其他门缝漏风总量(m3/s);
L3——未开启的常闭送风阀的漏风总量(m3/s)。
3.4.6门开启时,达到规定风速值所需的送风量应按下式计算:
L1= AkvN1 (3.4.6)
式中:Ak——一层内开启门的截面面积(m2),对于住宅楼梯前室,可按一个门的面积取值;
v——门洞断面风速(m/s);当楼梯间和独立前室、共用前室、合用前室均机械加压送风时,通向楼梯间和独立前室、共用前室、合用前室疏散门的门洞断面风速均不应小于0.7m/s;当楼梯间机械加压送风、只有一个开启门的独立前室不送风时,通向楼梯间疏散门的门洞断面风速不应小于1.0m/s;当消防电梯前室机械加压送风时,通向消防电梯前室门的门洞断面风速不应小于1.0m/s ;当独立前室、共用前室或合用前室机械加压送风而楼梯间采用可开启外窗的自然通风系统时,通向独立前室、共用前室或合用前室疏散门的门洞风速不应小于0.6 ( Al/Ag+1)( m/s);Al为楼梯间疏散门的总面积(m2);Ag为前室疏散门的总面积(m2)。
N1——设计疏散门开启的楼层数量;楼梯间:采用常开风口,当地上楼梯间为24m以下时,设计2层内的疏散门开启,取N1=2;当地上楼梯间为24m及以上时,设计3层内的疏散门开启,取N1 =3;当为地下楼梯间时,设计1层内的疏散门开启,取N1=1。前室:采用常闭风口,计算风量时取N1=3。
3.4.7门开启时,规定风速值下的其他门漏风总量应按下式计算:

式中:A——每个疏散门的有效漏风面积(m2);疏散门的门缝宽度取0.002m〜0.004m。
△P——计算漏风量的平均压力差(Pa);当开启门洞处风速为 0.7m/s 时,取△P =6.0Pa;当开启门洞处风速为1.0m/s时,取△P =12.0Pa;当开启门洞处风速为1.2m/s时,取△P=17.0Pa。
n——指数(一般取n =2);
1.25——不严密处附加系数;
N2——漏风疏散门的数量,楼梯间采用常开风口,取N2=加压楼梯间的总门数- N1楼层数上的总门数。
3.4.8未开启的常闭送风阀的漏风总量应按下式计算:
L3 =0.083×Af N3 (3.4.8)
式中:0.083——阀门单位面积的漏风量 [m3/(s·m2)];
Af——单个送风阀门的面积(m2);
N3——漏风阀门的数量:前室采用常闭风口取N3=楼层数—3。
3. 4.9疏散门的最大允许压力差应按下列公式计算:
式中:P——疏散门的最大允许压力差(Pa);
F′——门的总推力(N),一般取110N;
Fdc——门把手处克服闭门器所需的力(N);
Wm——单扇门的宽度(m);
Am——门的面积(m2);
dm——门的把手到门闩的距离(m);
M——闭门器的开启力矩(N•m)。
4 排烟系统设计
4.1 一般规定
4.1.1建筑排烟系统的设计应根据建筑的使用性质、平面布局等因素,优先采用自然排烟系统。
4.1.2同一个防烟分区应采用同一种排烟方式。
4.1.3建筑的中庭、与中庭相连通的回廊及周围场所的排烟系统的设计应符合下列规定:
1中庭应设置排烟设施。
2周围场所应按现行国家标准《建筑设计防火规范》GB 50016中的规定设置排烟设施。
3回廊排烟设施的设置应符合下列规定:
1)当周围场所各房间均设置排烟设施时,回廊可不设,但商店建筑的回廊应设置排烟设施;
2)当周围场所任一房间未设置排烟设施时,回廊应设置排烟设施。
4当中庭与周围场所未采用防火隔墙、防火玻璃隔墙、防火卷帘时,中庭与周围场所之间应设置挡烟垂壁。
5中庭及其周围场所和回廊的排烟设计计算应符合本标准第4.6.5条的规定。
6中庭及其周围场所和回廊应根据建筑构造及本标准第4.6节规定,选择设置自然排烟系统或机械排烟系统。
4.1.4下列地上建筑或部位,当设置机械排烟系统时,尚应按本标准第4.4.14条〜第4.4.16条的要求在外墙或屋顶设置固定窗:
1任一层建筑面积大于 2500m2的丙类厂房(仓库);
2任一层建筑面积大于 3000 m2的商店建筑、展览建筑及类似功能的公共建筑;
3总建筑面积大于1000 m2的歌舞、娱乐、放映、游艺场所;
4商店建筑、展览建筑及类似功能的公共建筑中长度大于60m的走道;
5靠外墙或贯通至建筑屋顶的中庭。
注:当符合本标准第4.4.17条规定的场所时,可采用可熔性采光带(窗)替代作固定窗。
4.2 防烟分区
4.2.1设置排烟系统的场所或部位应采用挡烟垂壁、结构梁及隔墙等划分防烟分区。防烟分区不应跨越防火分区。
4.2.2挡烟垂壁等挡烟分隔设施的深度不应小于本标准第4.6.2条规定的储烟仓厚度。对于有吊顶的空间,当吊顶开孔不均匀或开孔率小于或等于25%时,吊顶内空间高度不得计入储烟仓厚度。
4.2.3设置排烟设施的建筑内,敞开楼梯和自动扶梯穿越楼板的开口部应设置挡烟垂壁等设施。
4.2.4公共建筑、工业建筑防烟分区的最大允许面积及其长边最大允许长度应符合表4.2.4的规定,当工业建筑采用自然排烟系统时,其防烟分区的长边长度尚不应大于建筑内空间净高的8倍。

注:1公共建筑、工业建筑中的走道宽度不大于2.5m时,其防烟分区的长边长度不应大于60m。
2当空间净高大于9m时,防烟分区之间可不设置挡烟设施。
3汽车库防烟分区的划分及其排烟量应符合现行国家规范《汽车库、修车库、停车场设计防火规范》GB 50067的相关规定。
4.3 自然排烟设施
4.3.1采用自然排烟系统的场所应设置自然排烟窗(口)。
4.3.2防烟分区内自然排烟窗(口)的面积、数量、位置应按本标准第4.6.3条规定经计算确定,且防烟分区内任一点与最近的自然排烟窗(口)之间的水平距离不应大于30m。当工业建筑采用自然排烟方式时,其水平距离尚不应大于建筑内空间净高的2.8倍;当公共建筑空间净高大于或等于6m,且具有自然对流条件时,其水平距离不应大于37.5m。
4.3.3自然排烟窗(口)应设置在排烟区域的顶部或外墙,并应符合下列规定:
1当设置在外墙上时,自然排烟窗(口)应在储烟仓以内,但走道、室内空间净高不大于3m的区域的自然排烟窗(口)可设置在室内净高度的1/2以上;
2自然排烟窗(口)的开启形式应有利于火灾烟气的排出;
3当房间面积不大于200m2时,自然排烟窗(口)的开启方向可不限;
4自然排烟窗(口)宜分散均匀布置,且每组的长度不宜大于3.0m;
5设置在防火墙两侧的自然排烟窗(口)之间最近边缘的水平距离不应小于2.0m。
4.3.4厂房、仓库的自然排烟窗(口)设置尚应符合下列规定:
1当设置在外墙时,自然排烟窗(口)应沿建筑物的两条对边均匀设置;
2当设置在屋顶时,自然排烟窗(口)应在屋面均匀设置且宜采用自动控制方式开启;当屋面斜度小于或等于12°时,每200m2的建筑面积应设置相应的自然排烟窗(口);当屋面斜度大于12°时,每400m2的建筑面积应设置相应的自然排烟窗(口)。
4.3.5除本标准另有规定外,自然排烟窗(口)开启的有效面积尚应符合下列规定:
1当采用开窗角大于70°的悬窗时,其面积应按窗的面积计算;当开窗角小于或等于70°时,其面积应按窗最大开启时的水平投影面积计算。
2当采用开窗角大于70°的平开窗时,其面积应按窗的面积计算;当开窗角小于或等于70°时,其面积应按窗最大开启时的竖向投影面积计算。
3当采用推拉窗时,其面积应按开启的最大窗口面积计算。
4当采用百叶窗时,其面积应按窗的有效开口面积计算。
5当平推窗设置在顶部时,其面积可按窗的1/2周长与平推距离乘积计算,且不应大于窗面积。
6当平推窗设置在外墙时,其面积可按窗的1/4周长与平推距离乘积计算,且不应大于窗面积。
4.3.6自然排烟窗(口)应设置手动开启装置,设置在高位不便于直接开启的自然排烟窗(口),应设置距地面高度1.3m〜1.5 m的手动开启装置。净空高度大于9m的中庭、建筑面积大于2000m2的营业厅、展览厅、多功能厅等场所,尚应设置集中手动开启装置和自动开启设施。
4.3.7除洁净厂房外,设置自然排烟系统的任一层建筑面积大于2500m2的制鞋、制衣、玩具、塑料、木器加工储存等丙类工业建筑,除自然排烟所需排烟窗(口)外,尚宜在屋面上增设可熔性采光带(窗),其面积应符合下列规定:
1未设置自动喷水灭火系统的,或采用钢结构屋顶,或采用预应力钢筋混凝土屋面板的建筑,不应小于楼地面面积的10%;
2其他建筑不应小于楼地面面积的5%。
注:可熔性采光带(窗)的有效面积应按其实际面积计算。
4.4 机械排烟设施
4.4.1当建筑的机械排烟系统沿水平方向布置时,每个防火分区的机械排烟系统应独立设置。
4.4.2建筑高度超过50m的公共建筑和建筑高度超过100m的住宅,其排烟系统应竖向分段独立设置,且公共建筑每段高度不应超过50m,住宅建筑每段高度不应超过100m。
4.4.3排烟系统与通风、空气调节系统应分开设置;当确有困难时可以合用,但应符合排烟系统的要求,且当排烟口打开时,每个排烟合用系统的管道上需联动关闭的通风和空气调节系统的控制阀门不应超过10个。
4.4.4排烟风机宜设置在排烟系统的最高处,烟气出口宜朝上,并应高于加压送风机和补风机的进风口,两者垂直距离或水平距离应符合本标准第3.3.5条第3款的规定。
4.4.5排烟风机应设置在专用机房内,并应符合本标准第3.3.5条第5款的规定,且风机两侧应有600mm以上的空间。对于排烟系统与通风空气调节系统共用的系统,其排烟风机与排风风机的合用机房应符合下列规定:
1机房内应设置自动喷水灭火系统;
2机房内不得设置用于机械加压送风的风机与管道;
3排烟风机与排烟管道的连接部件应能在280℃时连续30min保证其结构完整性。
4.4.6排烟风机应满足280℃时连续工作30min的要求,排烟风机应与风机入口处的排烟防火阀连锁,当该阀关闭时,排烟风机应能停止运转。
4.4.7机械排烟系统应采用管道排烟,且不应采用土建风道。排烟管道应采用不燃材料制作且内壁应光滑。当排烟管道内壁为金属时,管道设计风速不应大于20m/s;当排烟管道内壁为非金属时,管道设计风速不应大于15m/s;排烟管道的厚度应按现行国家标准《通风与空调工程施工质量验收规范》GB 50243的有关规定执行。
4.4.8排烟管道的设置和耐火极限应符合下列规定:
1排烟管道及其连接部件应能在280℃时连续30min保证其结构完整性。
2竖向设置的排烟管道应设置在独立的管道井内,排烟管道的耐火极限不应低于0.50h。
3水平设置的排烟管道应设置在吊顶内,其耐火极限不应低于0.50h;当确有困难时,可直接设置在室内,但管道的耐火极限不应小于1.00h。
4设置在走道部位吊顶内的排烟管道,以及穿越防火分区的排烟管道,其管道的耐火极限不应小于1.00h,但设备用房和汽车库的排烟管道耐火极限可不低于0.50h。
4.4.9当吊顶内有可燃物时,吊顶内的排烟管道应采用不燃材料进行隔热,并应与可燃物保持不小于150mm的距离。
4.4.10排烟管道下列部位应设置排烟防火阀:
1垂直风管与每层水平风管交接处的水平管段上;
2一个排烟系统负担多个防烟分区的排烟支管上;
3排烟风机入口处;
4穿越防火分区处。
4.4.11设置排烟管道的管道井应采用耐火极限不小于1.00h的隔墙与相邻区域分隔;当墙上必须设置检修门时,应采用乙级防火门。
4.4.12排烟口的设置应按本标准第4.6.3条经计算确定,且防烟分区内任一点与最近的排烟口之间的水平距离不应大于30m。除本标准第4.4.13条规定的情况以外,排烟口的设置尚应符合下列规定:
1排烟口宜设置在顶棚或靠近顶棚的墙面上。
2排烟口应设在储烟仓内,但走道、室内空间净高不大于3m的区域,其排烟口可设置在其净空高度的1/2以上;当设置在侧墙时,吊顶与其最近边缘的距离不应大于0.5m。
3对于需要设置机械排烟系统的房间,当其建筑面积小于50㎡时,可通过走道排烟,排烟口可设置在疏散走道;排烟量应按本标准第4.6.3条第3款计算。
4火灾时由火灾自动报警系统联动开启排烟区域的排烟阀或排烟口,应在现场设置手动开启装置。
5排烟口的设置宜使烟流方向与人员疏散方向相反,排烟口与附近安全出口相邻边缘之间的水平距离不应小于1.5m。
6每个排烟口的排烟量不应大于最大允许排烟量,最大允许排烟量应按本标准第4.6.14条的规定计算确定。
7排烟口的风速不宜大于10m/s。
4.4.13当排烟口设在吊顶内且通过吊顶上部空间进行排烟时,应符合下列规定:
1吊顶应采用不燃材料,且吊顶内不应有可燃物;
2封闭式吊顶上设置的烟气流入口的颈部烟气速度不宜大于 1.5m/s ;
3非封闭式吊顶的开孔率不应小于吊顶净面积的25%,且孔洞应均匀布置。
4.4.14按本标准第4.1.4条规定需要设置固定窗时,固定窗的布置应符合下列规定:
1非顶层区域的固定窗应布置在每层的外墙上;
2顶层区域的固定窗应布置在屋顶或顶层的外墙上,但未设置自动喷水灭火系统的以及采用钢结构屋顶或预应力钢筋混凝土屋面板的建筑应布置在屋顶。
4.4.15固定窗的设置和有效面积应符合下列规定:
1设置在顶层区域的固定窗,其总面积不应小于楼地面面积的2%。
2设置在靠外墙且不位于顶层区域的固定窗,单个固定窗的面积不应小于1㎡,且间距不宜大于20m,其下沿距室内地面的高度不宜小于层高的1/2。供消防救援人员进入的窗口面积不计入固定窗面积,但可组合布置。
3设置在中庭区域的固定窗,其总面积不应小于中庭楼地面面积的5%。
4固定玻璃窗应按可破拆的玻璃面积计算,带有温控功能的可开启设施应按开启时的水平投影面积计算。
4.4.16固定窗宜按每个防烟分区在屋顶或建筑外墙上均匀布置且不应跨越防火分区。
4.4.17除洁净厂房外,设置机械排烟系统的任一层建筑面积大于 2000m2的制鞋、制衣、玩具、塑料、木器加工储存等丙类工业建筑,可采用可熔性采光带(窗)替代固定窗,其面积应符合下列规定:
1未设置自动喷水灭火系统的或采用钢结构屋顶或预应力钢筋混凝土屋面板的建筑,不应小于楼地面面积的10%;
2其他建筑不应小于楼地面面积的5%;
注:可熔性采光带(窗)的有效面积应按其实际面积计算。
4.5 补风系统
4.5.1除地上建筑的走道或建筑面积小于500m2的房间外,设置排烟系统的场所应设置补风系统。
4.5.2补风系统应直接从室外引入空气,且补风量不应小于排烟量的50%。
4.5.3补风系统可采用疏散外门、手动或自动可开启外窗等自然进风方式以及机械送风方式。防火门、窗不得用作补风设施。风机应设置在专用机房内。
4.5.4补风口与排烟口设置在同一空间内相邻的防烟分区时,补风口位置不限;当补风口与排烟口设置在同一防烟分区时,补风口应设在储烟仓下沿以下;补风口与排烟口水平距离不应少于5m。
4.5.5补风系统应与排烟系统联动开启或关闭。
4.5.6机械补风口的风速不宜大于10m/s,人员密集场所补风口的风速不宜大于5m/s;自然补风口的风速不宜大于3m/s。
4.5.7补风管道耐火极限不应低于0.50h,当补风管道跨越防火分区时,管道的耐火极限不应小于1.50h。
4.6 排烟系统设计计算
4.6.1排烟系统的设计风量不应小于该系统计算风量的1.2倍。
4.6.2当采用自然排烟方式时,储烟仓的厚度不应小于空间净高的20%,且不应小于500mm;当采用机械排烟方式时,不应小于空间净高的10%,且不应小于500mm。同时储烟仓底部距地面的高度应大于安全疏散所需的最小清晰高度,最小清晰高度应按本标准第4.6.9条的规定计算确定。
4.6.3除中庭外下列场所一个防烟分区的排烟量计算应符合下列规定:
1建筑空间净高小于或等于6m的场所,其排烟量应按不小于60m3/ (h·m2)计算,且取值不小于15000m3 /h,或设置有效面积不小于该房间建筑面积2%的自然排烟窗(口)。
2公共建筑、工业建筑中空间净高大于6m的场所,其每个防烟分区排烟量应根据场所内的热释放速率以及本标准第4.6.6条~第4.6.13条的规定计算确定,且不应小于表4.6.3中的数值,或设置自然排烟窗(口),其所需有效排烟面积应根据表4.6.3及自然排烟窗(口)处风速计算。

注:1.建筑空间净高大于9.0m的,按9.0m取值;建筑空间净高位于表中两个高度之间的,按线性插值法取值;表中建筑空间净高为6m处的各排烟量值为线性插值法的计算基准值。
2.当采用自然排烟方式时,储烟仓厚度应大于房间净高的20%;自然排烟窗(口)面积=计算排烟量/自然排烟窗(口)处风速;当采用顶开窗排烟时,其自然排烟窗(口)的风速可按侧窗口部风速的1.4倍计。
3当公共建筑仅需在走道或回廊设置排烟时,其机械排烟量不应小于13000m3/h,或在走道两端(侧)均设置面积不小于2m2的自然排烟窗(口)且两侧自然排烟窗(口)的距离不应小于走道长度的2/3。
4当公共建筑房间内与走道或回廊均需设置排烟时,其走道或回廊的机械排烟量可按60m3/ (h·m2)计算且不小于13000m3/h,或设置有效面积不小于走道、回廊建筑面积2%的自然排烟窗(口)。
4.6.4当一个排烟系统担负多个防烟分区排烟时,其系统排烟量的计算应符合下列规定:
1当系统负担具有相同净高场所时,对于建筑空间净高大于6m的场所,应按排烟量最大的一个防烟分区的排烟量计算;对于建筑空间净高为6m及以下的场所,应按同一防火分区中任意两个相邻防烟分区的排烟量之和的最大值计算。
2当系统负担具有不同净高场所时,应采用上述方法对系统中每个场所所需的排烟量进行计算,并取其中的最大值作为系统排烟量。
4.6.5中庭排烟量的设计计算应符合下列规定:
1中庭周围场所设有排烟系统时,中庭采用机械排烟系统的,中庭排烟量应按周围场所防烟分区中最大排烟量的2倍数值计算,且不应小于107000m3/h;中庭采用自然排烟系统时,应按上述排烟量和自然排烟窗(口)的风速不大于0.5m/s计算有效开窗面积。
2当中庭周围场所不需设置排烟系统,仅在回廊设置排烟系统时,回廊的排烟量不应小于本标准第4.6.3条第3款的规定,中庭的排烟量不应小于40000m3/h;中庭采用自然排烟系统时,应按上述排烟量和自然排烟窗(口)的风速不大于0.4m/s计算有效开窗面积。
4.6.6除本标准第4.6.3条、第4.6.5条规定的场所外,其他场所的排烟量或自然排烟窗(口)面积应按照烟羽流类型,根据火灾热释放速率、清晰高度、烟羽流质量流量及烟羽流温度等参数计算确定。
4.6.7各类场所的火灾热释放速率可按本标准第4.6.10条的规定计算且不应小于表4.6.7规定的值。设置自动喷水灭火系统(简称喷淋)的场所,其室内净高大于8m时,应按无喷淋场所对待。

4.6.8当储烟仓的烟层与周围空气温差小于15℃时,应通过降低排烟口的位置等措施重新调整排烟设计。
4.6.9走道、室内空间净高不大于3m的区域,其最小清晰高度不宜小于其净高的1/2,其他区域的最小清晰高度应按下式计算:
Hq =1.6 +0.1·H ′ (4.6.9)
式中:Hq——最小清晰高度(m);
H′——对于单层空间,取排烟空间的建筑净高度(m);对于多层空间,取最高疏散楼层的层高(m)。
4.6.10火灾热释放速率应按下式计算:
Q =α·t2 (4.6.10)
式中:Q——热释放速率(kW);
t——火灾增长时间(s);
α——火灾增长系数(按表4.6.10取值)(kW/s2)。

4.6.11烟羽流质量流量计算宜符合下列规定:
1 轴对称型烟羽流:

式中:Qc——热释放速率的对流部分,一般取值为Qc =0.7Q(kW);
Z——燃料面到烟层底部的高度(m)(取值应大于或等于最小清晰高度与燃料面高度之差);
Z1——火焰极限高度(m);
Mρ——烟羽流质量流量(kg/s)。
2阳台溢出型烟羽流:

式中:H1——燃料面至阳台的高度(m);
Zb——从阳台下缘至烟层底部的高度(m);
W——烟羽流扩散宽度(m);
w——火源区域的开口宽度(m);
b——从开口至阳台边沿的距离(m),b≠0;
3窗口型烟羽流:


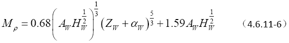
式中:A w——窗口开口的面积(m2);
H w——窗口开口的高度(m);
Z w——窗口开口的顶部到烟层底部的高度(m);
αw——窗口型烟羽流的修正系数(m)。
4.6.12烟层平均温度与环境温度的差应按下式计算或按本标准附录A中表A选取:
△T = KQc/MρCρ (4.6.12)
式中:△T——烟层平均温度与环境温度的差(K);
Cρ——空气的定压比热,一般取Cρ=1.01 [kJ/(kg•K ) ];
K——烟气中对流放热量因子。当采用机械排烟时,取K =1.0;当采用自然排烟时,取K =0.5。
4.6.13每个防烟分区排烟量应按下列公式计算或按本标准附录A查表选取:
V = MpT / ρ0T0 (4.6.13-1)
T =T0 + △T (4.6.13-2)
式中:V——排烟量(m3/s);
ρ0——环境温度下的气体密度(kg/m3),通常T0=293.15K,ρ0=1.2(kg/ m3);
T0——环境的绝对温度(K);
T——烟层的平均绝对温度(K)。
4.6.14机械排烟系统中,单个排烟口的最大允许排烟量Vmax宜按下式计算,或按本标准附录B选取。

式中:Vmax——排烟口最大允许排烟量 (m3/s);
γ——排烟位置系数;当风口中心点到最近墙体的距离≥2倍的排烟口当量直径时:γ取1.0;当风口中心点到最近墙体的距离< 2倍的排烟口当量直径时:γ取0.5;当吸入口位于墙体上时,γ取0.5。
db——排烟系统吸入口最低点之下烟气层厚度(m);
T——烟层的平均绝对温度(K);
T0——环境的绝对温度(K)。
4.6.15采用自然排烟方式所需自然排烟窗(口)截面积宜按下式计算:

式中:Av——自然排烟窗(口)截面积(m2);
A0——所有进气口总面积(m2);
Cv——自然排烟窗(口)流量系数(通常选定在0.5〜0.7之间);
C0——进气口流量系数(通常约为0.6);
g——重力加速度(m/s2)。
注:公式中AvCv在计算时应采用试算法。
5 系统控制
5.1 防烟系统
5.1.1机械加压送风系统应与火灾自动报警系统联动,其联动控制应符合现行国家标准《火灾自动报警系统设计规范》GB 50116的有关规定。
5.1.2加压送风机的启动应符合下列规定:
1现场手动启动;
2通过火灾自动报警系统自动启动;
3消防控制室手动启动;
4系统中任一常闭加压送风口开启时,加压风机应能自动启动。
5.1.3当防火分区内火灾确认后,应能在15s内联动开启常闭加压送风口和加压送风机,并应符合下列规定:
1应开启该防火分区楼梯间的全部加压送风机;
2应开启该防火分区内着火层及其相邻上下层前室及合用前室的常闭送风口,同时开启加压送风机。
5.1.4机械加压送风系统宜设有测压装置及风压调节措施。
5.1.5消防控制设备应显示防烟系统的送风机、阀门等设施启闭状态。
5.2 排烟系统
5.2.1机械排烟系统应与火灾自动报警系统联动,其联动控制应符合现行国家标准《火灾自动报警系统设计规范》GB 50116的有关规定。
5.2.2排烟风机、补风机的控制方式应符合下列规定:
1现场手动启动;
2火灾自动报警系统自动启动;
3消防控制室手动启动;
4系统中任一排烟阀或排烟口开启时,排烟风机、补风机自动启动;
5排烟防火阀在280℃时应自行关闭,并应连锁关闭排烟风机和补风机。
5.2.3机械排烟系统中的常闭排烟阀或排烟口应具有火灾自动报警系统自动开启、消防控制室手动开启和现场手动开启功能,其开启信号应与排烟风机联动。当火灾确认后,火灾自动报警系统应在15s内联动开启相应防烟分区的全部排烟阀、排烟口、排烟风机和补风设施,并应在30s内自动关闭与排烟无关的通风、空调系统。
5.2.4当火灾确认后,担负两个及以上防烟分区的排烟系统,应仅打开着火防烟分区的排烟阀或排烟口,其他防烟分区的排烟阀或排烟口应呈关闭状态。
5.2.5活动挡烟垂壁应具有火灾自动报警系统自动启动和现场手动启动功能,当火灾确认后,火灾自动报警系统应在15s内联动相应防烟分区的全部活动挡烟垂壁, 60s以内挡烟垂壁应开启到位。
5.2.6自动排烟窗可采用与火灾自动报警系统联动和温度释放装置联动的控制方式。当采用与火灾自动报警系统自动启动时,自动排烟窗应在60s内或小于烟气充满储烟仓时间内开启完毕。带有温控功能自动排烟窗,其温控释放温度应大于环境温度30℃且小于100℃。
5.2.7消防控制设备应显示排烟系统的排烟风机、补风机、阀门等设施启闭状态。
6 系统施工
6.1 一般规定
6.1.1防烟、排烟系统的分部、分项工程划分可按本标准附录C表C执行。
6.1.2防烟、排烟系统施工前应具备下列条件:
1经批准的施工图、设计说明书等设计文件应齐全;
2设计单位应向施工、建设、监理单位进行技术交底;
3系统主要材料、部件、设备的品种、型号规格符合设计要求,并能保证正常施工;
4施工现场及施工中的给水、供电、供气等条件满足连续施工作业要求;
5系统所需的预埋件、预留孔洞等施工前期条件符合设计要求。
6.1.3防烟、排烟系统的施工现场应进行质量管理,并应按本标准附录D表D-1的要求进行检查记录。
6.1.4防烟、排烟系统应按下列规定进行施工过程质量控制:
1施工前,应对设备、材料及配件进行现场检查,检验合格后经监理工程师签证方可安装使用;
2施工应按批准的施工图、设计说明书及其设计变更通知单等文件的要求进行;
3各工序应按施工技术标准进行质量控制,每道工序完成后,应进行检查,检查合格后方可进入下道工序;
4相关各专业工种之间交接时,应进行检验,并经监理工程师签证后方可进入下道工序;
5施工过程质量检查内容、数量、方法应符合本标准相关规定;
6施工过程质量检查应由监理工程师组织施工单位人员完成;
7系统安装完成后,施工单位应按相关专业调试规定进行调试;
8系统调试完成后,施工单位应向建设单位提交质量控制资料和各类施工过程质量检查记录。
6.1.5防烟、排烟系统中的送风口、排风口、排烟防火阀、送风风机、排烟风机、固定窗等应设置明显永久标识。
6.1.6防烟、排烟系统施工过程质量检查记录应由施工单位质量检查员按本标准附录D填写,监理工程师进行检查,并做出检查结论。
6.1.7防烟、排烟系统工程质量控制资料应按本标准附录E的要求填写。
6.2 进场检验
6.2.1风管应符合下列规定:
1风管的材料品种、规格、厚度等应符合设计要求和现行国家标准的规定。当采用金属风管且设计无要求时,钢板或镀锌钢板的厚度应符合本标准表6.2.1的规定。
注:1螺旋风管的钢板厚度可适当减小10%〜15%。
2不适用于防火隔墙的预埋管。
检查数量:按风管、材料加工批的数量抽查10%,且不得少于5件。
检查方法:尺量检查、直观检查,查验风管、材料质量合格证明文件、性能检验报吿。
2有耐火极限要求的风管的本体、框架与固定材料、密封垫料等必须为不燃材料,材料品种、规格、厚度及耐火极限等应符合设计要求和国家现行标准的规定。
检查数量:按风管、材料加工批的数量抽查10%,且不应少于5件。
检查方法:尺量检查、直观检查与点燃试验,查验材料质量合格证明文件。
6.2.2防烟、排烟系统中各类阀(口)应符合下列规定:
1排烟防火阀、送风口、排烟阀或排烟口等必须符合有关消防产品标准的规定,其型号、规格、数量应符合设计要求,手动开启灵活、关闭可靠严密。
检查数量:按种类、批抽查10%,且不得少于2个。
检查方法:测试、直观检查,查验产品的质量合格证明文件、符合国家市场准入要求的文件。
2防火阀、送风口和排烟阀或排烟口等的驱动装置,动作应可靠,在最大工作压力下工作正常。
检查数量:按批抽查10%,且不得少于1件。
检查方法:测试、直观检查,查验产品的质量合格证明文件、符合国家市场准入要求的文件。
3防烟、排烟系统柔性短管的制作材料必须为不燃材料。
检查数量:全数检查。
检查方法:直观检查与点燃试验,查验产品的质量合格证明文件、符合国家市场准入要求的文件。
6.2.3风机应符合产品标准和有关消防产品标准的规定,其型号、规格、数量应符合设计要求,出口方向应正确。
检查数量:全数检查。
检查方法:核对、直观检查,查验产品的质量合格证明文件、符合国家市场准入要求的文件。
6.2.4活动挡烟垂壁及其电动驱动装置和控制装置应符合有关消防产品标准的规定,其型号、规格、数量应符合设计要求,动作可靠。
检查数量:按批抽查10%,且不得少于1件。
检查方法:测试,直观检查,查验产品的质量合格证明文件、符合国家市场准入要求的文件。
6.2.5自动排烟窗的驱动装置和控制装置应符合设计要求,动作可靠。
检查数量:抽查10%,且不得少于1件。
检查方法:测试,直观检查,查验产品的质量合格证明文件、符合国家市场准入要求的文件。
6.2.6防烟、排烟系统工程进场检验记录应按本标准附录D表D-2填写。
6.3 风管安装
6.3.1金属风管的制作和连接应符合下列规定:
1风管采用法兰连接时,风管法兰材料规格应按本标准表6.3.1选用,其螺栓孔的间距不得大于150mm,矩形风管法兰四角处应设有螺孔;

2板材应采用咬口连接或铆接,除镀锌钢板及含有复合保护层的钢板外,板厚大于1.5mm的可采用焊接;
3风管应以板材连接的密封为主,可辅以密封胶嵌缝或其他方法密封,密封面宜设在风管的正压侧;
4无法兰连接风管的薄钢板法兰高度及连接应按本标准表6.3.1的规定执行;
5排烟风管的隔热层应采用厚度不小于40mm的不燃绝热材料,绝热材料的施工及风管加固、导流片的设置应按现行国家标准《通风与空调工程施工质量验收规范》GB 50243的有关规定执行。
检查数量:各系统按不小于30%检查。
检查方法:尺量检查、直观检查。
6.3.2非金属风管的制作和连接应符合下列规定:
1非金属风管的材料品种、规格、性能与厚度等应符合设计和现行国家产品标准的规定;
2法兰的规格应分别符合本标准表6.3.2的规定,其螺栓孔的间距不得大于120mm;矩形风管法兰的四角处应设有螺孔;

3采用套管连接时,套管厚度不得小于风管板材的厚度;
4无机玻璃钢风管的玻璃布必须无碱或中碱,层数应符合现行国家标准《通风与空调工程施工质量验收规范》GB 50243的规定,风管的表面不得出现泛卤或严重泛霜。
检查数量:各系统按不小于30%检查。
检查方法:尺量检查、直观检查。
6.3.3风管应按系统类别进行强度和严密性检验,其强度和严密性应符合设计要求或下列规定:
1风管强度应符合现行行业标准《通风管道技术规程》JGJ/T 141的规定。
2金属矩形风管的允许漏风量应符合下列规定:

式中:Llow, Lmid,Lhigh—系统风管在相应工作压力下,单位面积风管单位时间内的允许漏风量[m3/(h·m2)];P风管—指风管系统的工作压力(Pa)。
3风管系统类别应按本标准表6.3.3划分。

4金属圆形风管、非金属风管允许的气体漏风量应为金属矩形风管规定值的50%;
5排烟风管应按中压系统风管的规定。
检查数量:按风管系统类别和材质分别抽查,不应少于3件及15 m2。
检查方法:检查产品合格证明文件和测试报告或进行测试。系统的强度和漏风量测试方法按现行行业标准《通风管道技术规程》JGJ/T 141的有关规定执行。
6.3.4风管的安装应符合下列规定:
1风管的规格、安装位置、标高、走向应符合设计要求,且现场风管的安装不得缩小接口的有效截面。
2风管接口的连接应严密、牢固,垫片厚度不应小于3 mm,不应凸入管内和法兰外;排烟风管法兰垫片应为不燃材料,薄钢板法兰风管应采用螺栓连接。
3风管吊、支架的安装应按现行国家标准《通风与空调工程施工质量验收规范》GB 50243的有关规定执行。
4风管与风机的连接宜采用法兰连接,或采用不燃材料的柔性短管连接。当风机仅用于防烟、排烟时,不宜采用柔性连接。
5风管与风机连接若有转弯处宜加装导流叶片,保证气流顺畅。
6当风管穿越隔墙或楼板时,风管与隔墙之间的空隙应采用水泥砂浆等不燃材料严密填塞。
7吊顶内的排烟管道应采用不燃材料隔热,并应与可燃物保持不小于150mm的距离。
检查数量:各系统按不小于30%检查。
检查方法:核对材料,尺量检查、直观检查。
6.3.5风管(道)系统安装完毕后,应按系统类别进行严密性检验,检验应以主、干管道为主,漏风量应符合设计与本标准第6.3.3条的规定。
检查数量:按系统不小于30%检查,且不应少于1个系统。
检查方法:系统的严密性检验测试按现行国家标准《通风与空调工程施工质量验收规范》GB 50243的有关规定执行。
6.4 部件安装
6.4.1排烟防火阀的安装应符合下列规定:
1型号、规格及安装的方向、位置应符合设计要求;
2阀门应顺气流方向关闭,防火分区隔墙两侧的排烟防火阀距墙端面不应大于200mm;
3手动和电动装置应灵活、可靠,阀门关闭严密;
4应设独立的支、吊架,当风管采用不燃材料防火隔热时,阀门安装处应有明显标识。
检查数量:各系统按不小于30%检查。
检查方法:尺量检查、直观检查及动作检查。
6.4.2送风口、排烟阀或排烟口的安装位置应符合标准和设计要求,并应固定牢靠,表面平整、不变形,调节灵活;排烟口距可燃物或可燃构件的距离不应小于1.5m。
检查数量:各系统按不小于30%检查。
检查方法:尺量检查、直观检查。
6.4.3常闭送风口、排烟阀或排烟口的手动驱动装置应固定安装在明显可见、距楼地面1.3m~1.5m之间便于操作的位置,预埋套管不得有死弯及瘪陷,手动驱动装置操作应灵活。
检查数量:各系统按不小于30%检查。
检查方法:尺量检查、直观检查及操作检查。
6.4.4挡烟垂壁的安装应符合下列规定:
1型号、规格、下垂的长度和安装位置应符合设计要求;
2活动挡烟垂壁与建筑结构(柱或墙)面的缝隙不应大于60mm,由两块或两块以上的挡烟垂帘组成的连续性挡烟垂壁,各块之间不应有缝隙,搭接宽度不应小于100mm;
3活动挡烟垂壁的手动操作按钮应固定安装在距楼地面1.3m~1.5m之间便于操作、明显可见处。
检查数量:全数检查。
检查方法:依据设计图核对,尺量检查、动作检查。
6.4.5排烟窗的安装应符合下列规定:
1型号、规格和安装位置应符合设计要求;
2安装应牢固、可靠,符合有关门窗施工验收规范要求,并应开启、关闭灵活;
3手动开启机构或按钮应固定安装在距楼地面1.3m~1.5m之间,并应便于操作、明显可见;
4自动排烟窗驱动装置的安装应符合设计和产品技术文件要求,并应灵活、可靠。
检查数量:全数检查。
检查方法:依据设计图核对,操作检查、动作检查。
6.5 风机安装
6.5.1风机的型号、规格应符合设计规定,其出口方向应正确,排烟风机的出口与加压送风机的进口之间的距离应符合本标准第3.3.5条的规定。
检查数量:全数检查。
检查方法:依据设计图核对、直观检查。
6.5.2风机外壳至墙壁或其他设备的距离不应小于600mm。
检查数量:全数检查。
检查方法:依据设计图核对、直观检查。
6.5.3风机应设在混凝土或钢架基础上,且不应设置减振装置;若排烟系统与通风空调系统共用且需要设置减振装置时,不应使用橡胶减振装置。
检查数量:全数检查。
检查方法:依据设计图核对、直观检查。
6.5.4吊装风机的支、吊架应焊接牢固、安装可靠,其结构形式和外形尺寸应符合设计或设备技术文件要求。
检查数量:全数检查。
检查方法:依据设计图核对、直观检查。
6.5.5风机驱动装置的外露部位应装设防护罩;直通大气的进、出风口应装设防护网或采取其他安全设施,并应设防雨措施。
检查数量:全数检查。
检查方法:依据设计图核对、直观检查。
7 系统调试
7.1 一般规定
7.1.1系统调试应在系统施工完成及与工程有关的火灾自动报警系统及联动控制设备调试合格后进行。
7.1.2系统调试所使用的测试仪器和仪表,性能应稳定可靠,其精度等级及最小分度值应能满足测定的要求,并应符合国家有关计量法规及检定规程的规定。
7.1.3系统调试应由施工单位负责、监理单位监督,设计单位与建设单位参与和配合。
7.1.4系统调试前,施工单位应编制调试方案,报送专业监理工程师审核批准;调试结束后,必须提供完整的调试资料和报告。
7.1.5系统调试应包括设备单机调试和系统联动调试,并按本标准附录D表D-4填写调试记录。
7.2 单机调试
7.2.1排烟防火阀的调试方法及要求应符合下列规定,并应按附录D中表D-4填写记录:
1进行手动关闭、复位试验,阀门动作应灵敏、可靠,关闭应严密;
2模拟火灾,相应区域火灾报警后,同一防火分区内排烟管道上的其他阀门应联动关闭;
3阀门关闭后的状态信号应能反馈到消防控制室;
4阀门关闭后应能联动相应的风机停止。
调试数量:全数调试。
7.2.2常闭送风口、排烟阀或排烟口的调试方法及要求应符合下列规定:
1进行手动开启、复位试验,阀门动作应灵敏、可靠,远距离控制机构的脱扣钢丝连接不应松弛、脱落;
2模拟火灾,相应区域火灾报警后,同一防火分区的常闭送风口和同一防烟分区内的排烟阀或排烟口应联动开启;
3阀门开启后的状态信号应能反馈到消防控制室;
4阀门开启后应能联动相应的风机启动。
调试数量:全数调试。
7.2.3活动挡烟垂壁的调试方法及要求应符合下列规定:
1手动操作挡烟垂壁按钮进行开启、复位试验,挡烟垂壁应灵敏、可靠地启动与到位后停止,下降高度应符合设计要求;
2模拟火灾,相应区域火灾报警后,同一防烟分区内挡烟垂壁应在60s以内联动下降到设计高度;
3挡烟垂壁下降到设计高度后应能将状态信号反馈到消防控制室。
调试数量:全数调试。
7.2.4自动排烟窗的调试方法及要求应符合下列规定:
1手动操作排烟窗开关进行开启、关闭试验,排烟窗动作应灵敏、可靠;
2模拟火灾,相应区域火灾报警后,同一防烟分区内排烟窗应能联动开启;完全开启时间应符合本标准第5.2.6条的规定;
3与消防控制室联动的排烟窗完全开启后,状态信号应反馈到消防控制室。
调试数量:全数调试。
7.2.5送风机、排烟风机调试方法及要求应符合下列规定:
1手动开启风机,风机应正常运转2.0h,叶轮旋转方向应正确、运转平稳、无异常振动与声响;
2应核对风机的铭牌值,并应测定风机的风量、风压、电流和电压,其结果应与设计相符;
3应能在消防控制室手动控制风机的启动、停止,风机的启动、停止状态信号应能反馈到消防控制室;
4当风机进、出风管上安装单向风阀或电动风阀时,风阀的开启与关闭应与风机的启动、停止同步。
调试数量:全数调试。
7.2.6机械加压送风系统风速及余压的调试方法及要求应符合下列规定:
1应选取送风系统末端所对应的送风最不利的三个连续楼层模拟起火层及其上下层,封闭避难层(间)仅需选取本层,调试送风系统使上述楼层的楼梯间、前室及封闭避难层(间)的风压值及疏散门的门洞断面风速值与设计值的偏差不大于10%;
2对楼梯间和前室的调试应单独分别进行,且互不影响;
3调试楼梯间和前室疏散门的门洞断面风速时,设计疏散门开启的楼层数量应符合本标准第3.4.6条的规定。
调试数量:全数调试。
7.2.7机械排烟系统风速和风量的调试方法及要求应符合下列规定:
1应根据设计模式,开启排烟风机和相应的排烟阀或排烟口,调试排烟系统使排烟阀或排烟口处的风速值及排烟量值达到设计要求;
2开启排烟系统的同时,还应开启补风机和相应的补风口,调试补风系统使补风口处的风速值及补风量值达到设计要求;
3应测试每个风口风速,核算每个风口的风量及其防烟分区总风量。
调试数量:全数调试。
7.3 联动调试
7.3.1机械加压送风系统的联动调试方法及要求应符合下列规定:
1当任何一个常闭送风口开启时,相应的送风机均应能联动启动;
2与火灾自动报警系统联动调试时,当火灾自动报警探测器发出火警信号后,应在15s内启动与设计要求一致的送风口、送风机,且其联动启动方式应符合现行国家标准《火灾自动报警系统设计规范》GB 50116的规定,其状态信号应反馈到消防控制室。
调试数量:全数调试。
7.3.2机械排烟系统的联动调试方法及要求应符合下列规定:
1当任何一个常闭排烟阀或排烟口开启时,排烟风机均应能联动启动。
2应与火灾自动报警系统联动调试。当火灾自动报警系统发出火警信号后,机械排烟系统应启动有关部位的排烟阀或排烟口、排烟风机;启动的排烟阀或排烟口、排烟风机应与设计和标准要求一致,其状态信号应反馈到消防控制室。
3有补风要求的机械排烟场所,当火灾确认后,补风系统应启动。
4排烟系统与通风、空调系统合用,当火灾自动报警系统发出火警信号后,由通风、空调系统转换为排烟系统的时间应符合本标准第5.2.3条的规定。
调试数量:全数调试。
7.3.3自动排烟窗的联动调试方法及要求应符合下列规定:
1自动排烟窗应在火灾自动报警系统发出火警信号后联动开启到符合要求的位置;
2动作状态信号应反馈到消防控制室。
调试数量:全数调试。
7.3.4活动挡烟垂壁的联动调试方法及要求应符合下列规定:
1活动挡烟垂壁应在火灾报警后联动下降到设计高度;
2动作状态信号应反馈到消防控制室。
调试数量:全数调试。
8 系统验收
8.1 —般规定
8.1.1系统竣工后,应进行工程验收,验收不合格不得投入使用。
8.1.2工程验收工作应由建设单位负责,并应组织设计、施工、监理等单位共同进行。
8.1.3系统验收时应按本标准附录F填写防烟、排烟系统及隐蔽工程验收记录表。
8.1.4工程竣工验收时,施工单位应提供下列资料:
1竣工验收申请报告;
2施工图、设计说明书、设计变更通知书和设计审核意见书、竣工图;
3工程质量事故处理报告;
4防烟、排烟系统施工过程质量检查记录;
5防烟、排烟系统工程质量控制资料检查记录。
8.2 工程验收
8.2.1防烟、排烟系统观感质量的综合验收方法及要求应符合下列规定:
1风管表面应平整、无损坏;接管合理,风管的连接以及风管与风机的连接应无明显缺陷。
2风口表面应平整,颜色一致,安装位置正确,风口可调节部件应能正常动作。
3各类调节装置安装应正确牢固、调节灵活,操作方便。
4风管、部件及管道的支、吊架形式、位置及间距应符合要求。
5风机的安装应正确牢固。
检查数量:各系统按30%抽查。
8.2.2防烟、排烟系统设备手动功能的验收方法及要求应符合下列规定:
1送风机、排烟风机应能正常手动启动和停止,状态信号应在消防控制室显示;
2送风口、排烟阀或排烟口应能正常手动开启和复位,阀门关闭严密,动作信号应在消防控制室显示;
3活动挡烟垂壁、自动排烟窗应能正常手动开启和复位,动作信号应在消防控制室显示。
检查数量:各系统按30%抽查。
8.2.3防烟、排烟系统设备应按设计联动启动,其功能验收方法及要求应符合下列规定:
1送风口的开启和送风机的启动应符合本标准第5.1.2条、第5.1.3条的规定;
2排烟阀或排烟口的开启和排烟风机的启动应符合本标准第5.2.2条、第5.2.3条和第5.2.4条的规定;
3活动挡烟垂壁开启到位的时间应符合本标准第5.2.5条的规定;
4自动排烟窗开启完毕的时间应符合本标准第5.2.6条的规定;
5补风机的启动应符合本标准第5.2.2条的规定;
6各部件、设备动作状态信号应在消防控制室显示。
检查数量:全数检查。
8.2.4自然通风及自然排烟设施验收,下列项目应达到设计和标准要求:
1封闭楼梯间、防烟楼梯间、前室及消防电梯前室可开启外窗的布置方式和面积;
2避难层(间)可开启外窗或百叶窗的布置方式和面积;
3设置自然排烟场所的可开启外窗、排烟窗、可熔性采光带(窗)的布置方式和面积。
检查数量:各系统按30%检查。
8.2.5机械防烟系统的验收方法及要求应符合下列规定:
1选取送风系统末端所对应的送风最不利的三个连续楼层模拟起火层及其上下层,封闭避难层(间)仅需选取本层,测试前室及封闭避难层(间)的风压值及疏散门的门洞断面风速值,应分别符合本标准第3.4.4条和第3.4.6条的规定,且偏差不大于设计值的10%;
2对楼梯间和前室的测试应单独分别进行,且互不影响;
3测试楼梯间和前室疏散门的门洞断面风速时,应同时开启三个楼层的疏散门。
检查数量:全数检查。
8.2.6机械排烟系统的性能验收方法及要求应符合下列规定:
1开启任一防烟分区的全部排烟口,风机启动后测试排烟口处的风速,风速、风量应符合设计要求且偏差不大于设计值的10%;
2设有补风系统的场所,应测试补风口风速,风速、风量应符合设计要求且偏差不大于设计值的10%。
检查数量:各系统全数检查。
8.2.7系统工程质量验收判定条件应符合下列规定:
1系统的设备、部件型号规格与设计不符,无出厂质量合格证明文件及符合国家市场准入制度规定的文件,系统验收不符合本标准第8.2.2条〜第8.2.6条任一款功能及主要性能参数要求的,定为A类不合格;
2不符合本标准第8.1.4条任一款要求的定为 B类不合格;
3不符合本标准第8.2.1条任一款要求的定为 C类不合格;
4系统验收合格判定应为:A=0且B≤2,B+C≤6为合格,否则为不合格。
9 维护管理
9.0.1建筑防烟、排烟系统应制定维护保养管理制度及操作规程,并应保证系统处于准工作状态。维护管理记录应按本标准附录G填写。
9.0.2维护、管理人员应熟悉防烟、排烟系统的原理、性能和操作维护规程。
9.0.3每季度应对防烟、排烟风机、活动挡烟垂壁、自动排烟窗进行一次功能检测启动试验及供电线路检查,检查方法应符合本标准第7.2.3条〜第7.2.5条的规定。
9.0.4每半年应对全部排烟防火阀、送风阀或送风口、排烟阀或排烟口进行自动和手动启动试验一次,检查方法应符合本标准第7.2.1条、第7.2.2条的规定。
9.0.5每年应对全部防烟、排烟系统进行一次联动试验和性能检测,其联动功能和性能参数应符合原设计要求,检查方法应符合本标准第7.3节和第8.2.5条〜第8.2.7条的规定。
9.0.6排烟窗的温控释放装置、排烟防火阀的易熔片应有10%的备用件,且不少于 10只。
9.0.7当防烟排烟系统采用无机玻璃钢风管时,应每年对该风管质量检查,检查面积应不少于风管面积的30%;风管表面应光洁、无明显泛霜、结露和分层现象。
附录A 不同火灾规模下的机械排烟量


附录B 排烟口最大允许排烟量


注:1 本表仅适用于排烟口设置于建筑空间顶部,且排烟口中心点至最近墙体的距离大于或等于2倍排烟口当量直径的情形。当小于2倍或排烟口设于侧墙时,应按表中的最大允许排烟量减半。
2 本表仅列出了部分火灾热释放速率、部分空间净高、部分设计烟层厚度条件下,排烟口的最大允许排烟量。
3 对于不符合上述两条所述情形的工况,应按实际情况按本标准第4.6.14条的规定进行计算。
附录C 防烟、排烟系统分部、分项工程划分

附录D 施工过程质量检查记录


注:施工过程若用到其他表格,则应作为附件一并归档。

注:施工过程若用到其他表格,则应作为附件一并归档。

注:施工过程若用到其他表格,则应作为附件一并归档。
附录E 防烟、排烟系统工程质量控制资料检查记录

附录F 防烟、排烟工程验收记录

注:分部工程质量验收由建设单位项目负责人组织施工单位项目经理、总监理工程师和设计单位项目负责人等进行。

附录G 防烟、排烟系统维护管理工作检查项目

本标准用词说明
1为便于在执行本标准条文时区别对待,对要求严格程度不同的用词说明如下:
1) 表示很严格,非这样做不可的:
正面词采用“必须”,反面词采用“严禁”;
2) 表示严格,在正常情况下均应这样做的:
正面词采用“应”,反面词采用“不应”或“不得”;
3) 表示允许稍有选择,在条件许可时首先应这样做的:
正面词采用“宜”,反面词采用“不宜”;
4) 表示有选择,在一定条件下可以这样做的,采用“可”。
2条文中指明应按其他有关标准执行的写法为:“应符合......的规定”或“应按……执行”。
引用标准名录
《建筑设计防火规范》GB 50016
《汽车库、修车库、停车场设计防火规范》GB 50067
《火灾自动报警系统设计规范》GB 50116
《通风与空调工程施工质量验收规范》GB 50243
《通风管道技术规程》JGJ/T 141
